Membrane Protein Biochemistry Lab

BRUNO MIROUX

Principal Investigator

INSERM RESEARCH DIRECTOR

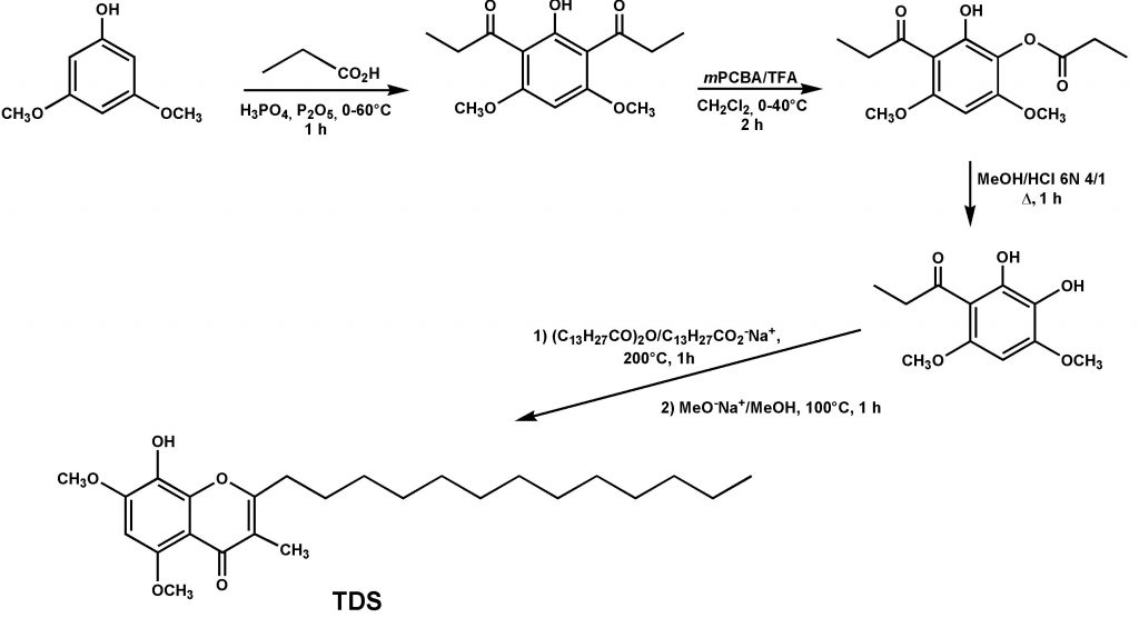
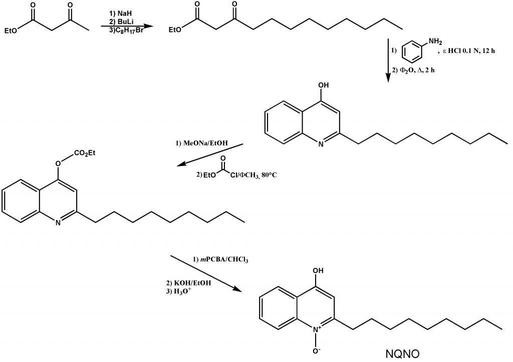
One of our recurrent works is the development and/or the synthesis of some derivatives involved in affinity mechanism with certain proteins. Those derivatives are called ligands and may act following the case, as a protein inhibitor or a protein activator. Two interesting examples are given here concerning the synthesis of tridecylstigmateline (TDS) (see Fig. 1) and 4-hydroxynonylquinoleyl-N-oxyde (NQNO) (see Fig. 2) which are two cytochrome b6f inhibitors commonly used in order to chock the cytochrome structure prior crystallization (see [1-2] as example of application).

Figure 1. synthetic pathway for TDS according to Höfle et al. [3]
Figure 2. synthetic pathway for NQNO according to Wells [4].

References

[1]  D. Stroebel, Y. Choquet, J-L. Popot and Daniel Picot  Nature, 2003, 426, 413-418 .
[2] F. Baymann, F. Giusti, D. Picot, and W. Nitschke.    Proc. Nat. Acad. Sci. USA, 2007, 104, 519-524
[3] G. Höfle, B. Kunze, C. Zorzin, H. Reichenbach. Liebigs Ann. Chem. 1984, 12, 1883-1904.
[4] I. C. Wells. J. Biol. Chem. 1952, 196, 331-340